Unterstützung und Beratung unter:

03681 / 454266-20
Mo-Do 06:30 - 16:00 Uhr
Fr 06:30 - 12:00 Uhr
Kontakt
Schneller Versand
Prüfung, Wartung & Reparatur
über 15.000 Kunden vertrauen uns
Bequemer Kauf auf Rechnung
Rufen Sie uns an: 03681 454266-20
Suche...

H-Traverse / Quertraverse verstellbar

H-Traverse / Quertraverse / Traverse kaufen - Lastaufnahmemittel
H-Traverse / Quertraverse / Traverse kaufen - Lastaufnahmemittel
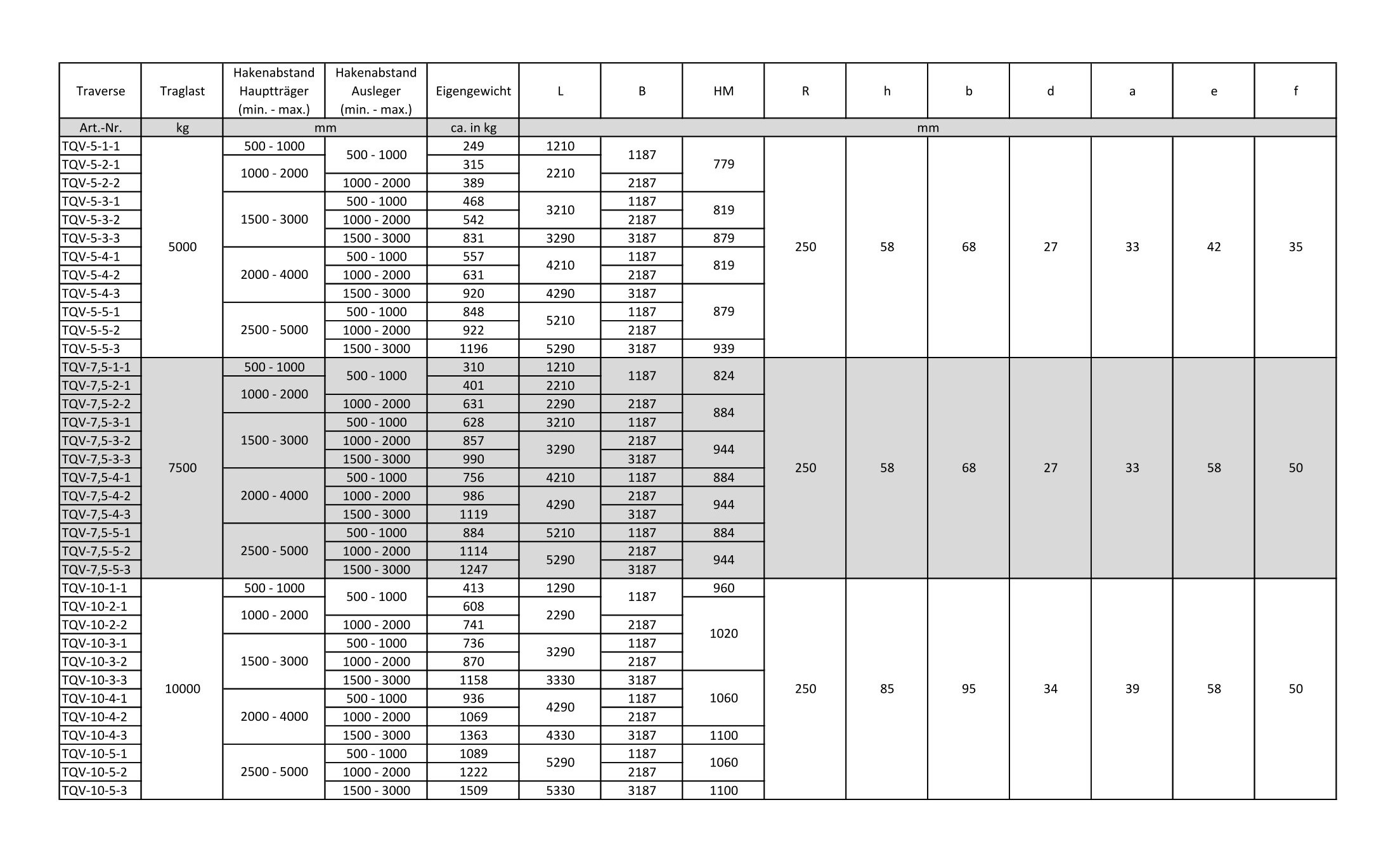
H-Traverse verstellbar Technische Daten 1000-3000kg
H-Traverse verstellbar Technische Daten 5000-10000kg
H-Traverse / Quertraverse verstellbar - Traversen
Gewicht: ca. 922,00 kg

Art.-Nr.: TQV-5-5-2

H-Traverse / Quertraverse verstellbar

4.563,00 €*

Inhalt: 1 Stück

* Preise zzgl. MwSt. zzgl. Versandkosten

Sofort verfügbar, 3-4 Wochen
Produktnummer: TQV-5-5-2
Unsere Zahlungsarten:
Vorkasse Rechnung Kreditkarte
Dieses Produkt teilen:

Produktinformationen

Verstellbare H-Traverse / Quertraverse – Flexibel, robust und individuell gefertigt

Die verstellbare H-Traverse, auch bekannt als Quertraverse oder 4-Punkt-Traverse, ist die ideale Lösung für den sicheren und flexiblen Lastentransport mit dem Kran. Durch ihre durchdachte Konstruktion aus einem Querbalken mit zentraler Aufhängung und zwei verstellbaren Auslegern mit Wirbellasthaken bietet sie höchste Anpassungsfähigkeit bei gleichzeitig maximaler Tragkraft.

Ihre Vorteile auf einen Blick:

  • Individuell einstellbarer Hakenabstand – für optimale Lastverteilung und Anpassung an unterschiedliche Geometrien

  • Verfügbar in Tragfähigkeiten bis 10 t – Auswahl je nach Bedarf im Online-Shop

  • Zentrale oder doppelte Aufhängung – für maximale Kompatibilität mit Einfach- oder Doppelhaken

  • Hochwertiger Oberflächenschutz – langlebige Lackierung in RAL 1003 signalgelb

  • Sonderanfertigung aus Deutschland – 100 % Fertigung am Standort Suhl (Thüringen)

Technische Details und Individualisierung:

  • Tragfähigkeit und Abmessungen wählbar: Im Shop wählen Sie ganz einfach die benötigte Traglast sowie die Länge von Quer- und Längstraversen.

  • Verstellbarkeit: Der Hakenabstand kann manuell auf etwa die halbe Breite reduziert werden – ideal für variable Einsätze.

  • Zentrale Aufhängung über Einfachhaken oder alternativ mit Kettengehänge (ebenfalls bei uns erhältlich).

  • Individuelle Anpassungen möglich: Wir erstellen vor Fertigung eine Konstruktionszeichnung zur Freigabe – so erhalten Sie exakt die Traverse, die Sie benötigen.

Sicherheit & Qualität:

Unsere H-Traversen / Quertraversen werden nach DIN EN 13155 gefertigt und sind für bis zu 20.000 Lastwechsel ausgelegt. Sie entsprechen der Betriebssicherheitsverordnung (BetrSichV) sowie der EG-Maschinenrichtlinie. Jede Traverse wird mit Typenschild, CE-Kennzeichnung, Betriebsanleitung , EG-Konformitätserklärung und Prüfbuch ausgeliefert.

Hinweis: Als individuell gefertigte Sonderlösung ist die Traverse vom Umtausch ausgeschlossen.

Regelmäßige Prüfung & Service:

Als Lastaufnahmemittel unterliegt die H-Traverse der jährlichen Prüfung gemäß DGUV-Vorschriften 109-017. Unsere Fachkräfte der SHT Suhler Hebezeugtechnik GmbH bieten Ihnen diesen Service direkt mit an – ebenso wie die Prüfung weiterer Betriebsmittel wie Leitern, Tore oder Anschlagmittel.

Ergänzendes Zubehör und weitere Traversen-Typen:

Neben der verstellbaren Quertraverse bieten wir Ihnen ein breites Sortiment an weiteren Produkten:

  • Balkentraversen & verstellbare Balkentraversen

  • Big Bag-Traversen (auch mit abgesenktem Schwerpunkt)

  • C-Haken / Coilhaken

  • Anschlagmittel wie Rundschlingen, Hebebänder, Anschlagketten, Kettengehänge u.v.m.


Unsere verstellbare H-Traverse, auch Quertraverse oder 4-Punkt Traverse genannt, ist die perfekte Investition in die Zukunft Ihres Unternehmen.  Sie bietet Flexibilität, Anpassungsfähigkeit für viele Lasten, Qualität und Sicherheit und damit maximalen Nutzen und langfristige Werterhaltung.

Technischer Aufbau der H-Traverse / Quertraverse

Die verstellbare H-Traverse / Quertraverse besteht aus

  • einem Querbalken, an dem die Aufhängung an einer Kranöse erfolgt
  • zwei verstellbaren Auslegern. 
  • Wirbellasthaken an den äußeren Enden der H-Traversen bzw. Quertraversen.

Bei dem verstellbaren Typ ist deren Abstand jeweils von Hand verstellbar. Alternativ bieten wir in jeder Tragfähigkeit ebenfalls einen Typ der Quertraverse in Niedrigbauweise an, der starr (also nicht verstellbar) ist.

In welchen Fällen sollte man eine verstellbare H-Traverse verwenden?

  • Ungleiche Lastverteilung: Ermöglicht gleichmäßige Verteilung bei ungleichmäßigen Lasten.
  • Flexibilität bei unterschiedlichen Lasten: Anpassbar für verschiedene Größen und Formen von Lasten.
  • Eingeschränkte Platzverhältnisse: Nützlich in Situationen mit begrenztem Raum für das Heben.
  • Präzisionshebungen: Bietet genauere Kontrolle über die Positionierung der Last.
  • Mehrpunktaufhängungen: Ermöglicht die Nutzung mehrerer Aufhängepunkte für Stabilität oder Ausrichtung.
  • Wechselnde Hebebedingungen: Bietet allgemeine Anpassungsfähigkeit in verschiedenen Hebesituationen.

Warum Ihre Traversen beim SHT Hebezeugshop kaufen?

  • Volle Kontrolle durch Fertigungszeichnung: Bitte beachten Sie, dass wir für alle unsere H-Traversen / Quertraversen / 4-Punkt Traversen - auch bei direkter Bestellung im Shop - kurzfristig eine Konstruktionszeichnung anfertigen und Ihnen die Möglichkeit der Fertigungsfreigabe geben. So erhalten Sie immer genau die Traverse bzw. auch das notwendige Zubehör, welches Sie möchten - und Anpassungen der Produkte an Ihre individuelle Umgebung und gewünschten Daten sind - natürlich im Rahmen der technischen Möglichkeiten - gar kein Problem.
  • Maximale Flexibilität: In den Optionen der H-Traverse können Sie im Hebezeugshop jeweils die Tragfähigkeit sowie die Längen der Quer- und Längstraversen (bzw. Ausleger) auswählen. Die Verstellbarkeit der H-Traversen erlaubt im Normalfall den Hakenabstand auf ca. jeweils die halbe Länge bzw. Breite verringern zu können. Damit erreichen Sie mit den SHT H-Traversen die maximale Flexibilität. Die maximale Tragfähigkeit darf bei verstellbaren Traversen in allen Positionen jeweils bis zu maximal angegebenen Tragfähigkeit (SWL = Safe working load) genutzt werden.
  • Aufhängung: Die Aufhängung der  H-Traverse / Quertraverse erfolgt an einem zentralen Haken / Kranöse (normalerweise Einfachhaken des Krans) oder über ein Kettengehänge an zwei symmetrischen Haken auf der Quertraverse. Natürlich können Sie für diesen Typ auch diese Kettengehänge bei uns bestellen. Alternative Möglichkeiten der Aufhängung können wir ggf. gern mit Ihnen besprechen. Wir stimmen zudem die Aufhängung gern mit Ihnen ab, z.B. wenn Sie uns die Daten für Ihren Haken (Kranhaken / Einfachhaken / Doppelhaken) oder die Hakennummer durchgeben.
  • Kurze Lieferzeit und Qualität Made in Germany: Die Fertigung erfolgt ausschließlich an unserem eigenen Standort in Suhl, Thüringen. So können wir auch Traversen jeder Größe und Traglast auf Kundenwunsch schnell entwickeln und fertigen. Der Oberflächenschutz erfolgt durch Stahlkieselentrostung sowie einer Grund- und Decklackierung auf Alkylharzbasis RAL 1003 signalgelb. Grundlage der Berechnung der H-Traversen / Quertraversen sind max. Lastwechsel von 20.000 gemäß DIN EN 13155. Eine symmetrische Lastverteilung der Quertraversen wird vorausgesetzt.
  • Höchste Sicherheitsstandards: Bei SHT setzen wir auf Sicherheit. Unsere H-Traversen und Quertraversen werden nach strengsten Industriestandards gefertigt und getestet, um maximale Sicherheit bei jedem Hebevorgang zu gewährleisten.
  • Robuste Bauweise: Hergestellt aus hochwertigen Materialien, gewährleisten unsere Traversen eine lange Lebensdauer und minimale Wartung. Sie sind konzipiert, um den härtesten Bedingungen standzuhalten und gleichzeitig eine optimale Leistung zu erbringen.
  • Expertenberatung und -support: Bei SHT erhalten Sie nicht nur ein Produkt, sondern eine umfassende Beratung und Unterstützung. Unser erfahrenes Team hilft Ihnen bei der Auswahl der perfekten Traverse für Ihre spezifischen Bedürfnisse.

Was ist sonst noch wichtig?

Unsere H-Traversen sind Sonderanfertigungen, eine Rücknahme bzw. Umtausch ist deshalb ausgeschlossen.

Die von uns angebotenen H-Traversen entsprechen der Betriebssicherungsverordnung (BetrSichV) vom 03.02.2015 und der EG-Maschinenrichtlinie. Zum Lieferumfang der H-Traverse gehören Betriebsanleitung, EG-Konformitätserklärung und Prüfbuch. Die Kennzeichnung erfolgt durch ein Typenschild und CE-Zeichen.

Umfangreiches Zubehör: Sie erhalten zudem umfangreiches Zubehör - Produkte bei uns, wie z.B. Hebebänder, Rundschlingen, Anschlagketten / Kranketten / Kettengehänge, Einfachhaken, Sicherung gegen Absturz, Ladungssicherung uvm.  Zudem erhalten Sie natürlich jeden beliebigen Typ anderer Traversen, z.B. einfache Balkentraversen, verstellbare Balkentraversen, Big Bag-Traversen / BigBag Traversen als Kreuztraversen, Big Bag-Traversen mit niedrigerem Schwerpunkt, C-Haken bzw. Coilhaken uvm.

Noch Fragen zu verstellbaren H-Traversen bzw. Quertraversen?

Sie sind auf der Suche nach einer leichten Variante der H-Traverse? Vielleicht ist unsere Alu-H-Traverse dann etwas für Sie.

Rufen Sie uns jederzeit gerne an oder nehmen Sie Kontakt auf, wenn Sie weitere Daten / Informationen / Services zu einem unserer Produkt benötigen!

0,0
0 Bewertungen

Dieses Produkt hat noch keine Bewertungen. Seien Sie der Erste!

Ihre Bewertung

×

📦 Versandkosten Deutschland

Versandbedingungen

SHT liefert jede Warensendung per Spedition oder per Paketdienst. Die Lieferzeit ist abhängig von der Verfügbarkeit der Ware im Lager. Wir versuchen die Versandkosten zu optimieren, diese werden dann ohne Zuschlag an den Kunden weitergegeben.

Zahlungsbedingungen

Da Hebezeuge mehrheitlich von Geschäftskunden erworben werden, sind alle Preise Nettoverkaufspreise. Auf dem Kundenbeleg/Rechnung befinden sich ebenfalls separat ausgeschildert die Nettopreise, zu denen noch die jeweils geltende deutsche gesetzliche Umsatzsteuer kommt.

Die Ware inkl. Versandkosten können gezahlt werden

  • Kauf auf Rechnung (30 Tage Zahlungsziel)
  • Kreditkarte
  • Sofort Überweisung
  • Bancontact
  • giropay
  • SEPA-Lastschrift
  • Apple-Pay
  • Vorkasse

Die in unseren Katalogen, Broschüren, Preislisten, Internetseiten und sonstigen Werbeschriften angeführten Preise gelten als freibleibend, vorbehaltlich Satz- und Druckfehler und verstehen sich wenn nicht anders aufgeführt ab Verkaufsgelände oder Warenlager.

Bitte beachten Sie, dass wir uns bei Erstkäufern, die als Privatpersonen einkaufen, das Recht vorbehalten, Vorkasse als Zahlungsart zu bestimmen. Dies gilt auch dann, wenn im Bestellprozess zunächst 'Kauf auf Rechnung' als Zahlungsmethode ausgewählt wurde.

Sämtliche von uns gelieferte Ware bleibt bis zur vollständigen Bezahlung des Kaufpreises in unserem Eigentum.

Für sämtliche Streitigkeiten aus oder über den Kaufvertrag ist ausschließlich deutsches Recht anzuwenden. Die Anwendung des Übereinkommens der Vereinten Nationen über Verträge im internationalen Warenaustausch wird einvernehmlich ausgeschlossen. Der ausschließliche Gerichtsstand ist Hamburg.

×

🔍 Günstiger gesehen?

Sie haben diesen Artikel woanders günstiger gefunden? Teilen Sie uns den Preis mit – wir prüfen das und melden uns schnell bei Ihnen!

Bitte den vollständigen Link zum Produkt angeben
Schneller Versand
Prüfung, Wartung & Reparatur
über 15.000 Kunden vertrauen uns
Bequemer Kauf auf Rechnung
Rufen Sie uns an: 03681 454266-20